Stronger readers. Faster language learners. Backed by 14 peer-reviewed trials — and counting.

We pair a non-invasive brain stimulation protocol with the reading or language instruction students are already doing — and the gains show up, specifically, in what matters most: decoding unfamiliar words, acquiring new vocabulary, and retention that holds after treatment ends.

The evidence

Peer-reviewed. Replicated. Durable.

Three findings from the tES (transcranial electrical stimulation) literature, each directly load-bearing for the pilots we run.

11 / 11
Clinical trials in dyslexia — every one improved reading

A 2025 scoping review of every published tES clinical trial in developmental dyslexia found positive effects on reading in all eleven — with the strongest, most consistent signal on non-word decoding, the core skill at the center of the condition.

Constantino et al., CoDAS (2025)
Lasting gains
That persist after treatment ends

In both dyslexia and language learning, measurable effects hold up after stimulation stops — from one-week follow-ups in vocabulary studies to six-month follow-ups in reading interventions.

Meinzer et al. (2014); Costanzo et al. (2019)
+40%
Faster novel vocabulary acquisition

In a randomized five-day trial, adults who trained with tES learned up to 40% more novel vocabulary than an unstimulated control.

Meinzer et al., Cortex (2014)

Our mission

Accelerate how the brain learns language — whether it's a child decoding their first words or an adult mastering their fifth.

Two programs

One partner. Two paths, depending on who you serve.

The science is shared. The protocols, partners, and outcomes are tuned to each audience.

The science, in plain English

A nudge to the brain's circuits that do the work.

Our devices deliver a small electrical current — roughly the strength of a hearing-aid battery — through two electrodes on the scalp. It isn't strong enough to fire neurons on its own. What it does is lower the threshold for firing: the region under the electrode becomes a little more responsive to whatever it's already trying to do.

Which is why the instruction matters more than the device. Pair the current with active practice — sounding out words, learning new vocabulary — and the circuits doing the real work encode the skill a little more efficiently each session. Stimulation on its own doesn't teach anyone anything.

Different jobs, different targets. For reading and phonics, we target several regions in the system that turns letters into sounds — the network a struggling reader leans on when they meet an unfamiliar word. For language learning, Broca's and Wernicke's areas — the brain's talker and its listener.

Dive into the research

Read the papers.

Ten load-bearing studies from the tES (transcranial electrical stimulation) literature in reading and language acquisition.

PRISMA flow diagram showing 11 clinical trials included from 30 identified records

Every published tES trial in dyslexia improved reading

A 2025 scoping review of the entire tES-for-developmental-dyslexia clinical literature (225 participants total). Strongest, most consistent signal on non-word decoding.

Constantino et al. — CoDAS (2025)
Read the paper
Bar charts showing active tES outperforming sham on low-frequency word and non-word reading across four timepoints

Reading gains held six months after treatment

Eighteen sessions of tES paired with phoneme-grapheme training produced low-frequency word and pseudoword reading gains that persisted at six-month follow-up.

Costanzo et al. — Neuropsychologia (2019)
Read the paper
Learning curves across five training days plus one-week follow-up showing active tES learners outperforming sham on familiar and novel object naming

Faster novel vocabulary acquisition in adults

In a randomized five-day trial (n=40), adults trained with tES over left temporoparietal cortex learned up to 40% more novel vocabulary than sham controls.

Meinzer et al. — Cortex (2014)
Read the paper
Brain rendering showing Broca's and Wernicke's areas alongside an EEG cap montage used for stimulation

Large-scale replication in 160 Russian speakers

tES over core left-hemisphere language areas facilitated novel word acquisition, with the largest gains for anodal stimulation of Broca's area.

Shtyrov et al. — Neurobiology of Learning and Memory (2024)
Read the paper
Forest-plot-style summary showing pooled effect g=0.50 with 95% CI [0.29, 0.71] across nine trials

Moderate, reliable gains across nine language-learning trials

A 2021 systematic review and meta-analysis of tES trials for second- and foreign-language learning in healthy adults: nine studies, 279 participants, moderate overall effect on learning (g=0.50, p=.0001). Biggest gains came when stimulation was applied during the learning phase — not during test.

Balboa-Bandeira et al. — Neuropsychologia (2021)
Read the paper
Bar chart showing tES has a larger effect on learning (d=0.712) than on in-the-moment performance (d=0.207)

tES boosts learning more than performance

A meta-analysis of 246 effect sizes from language and math tasks. Stimulation during the learning phase (d=0.712) was more than three times as effective as stimulation during testing (d=0.207) — evidence tES drives durable learning, not just an in-the-moment lift.

Simonsmeier et al. — Neuroscience and Biobehavioral Reviews (2018)
Read the paper
Bar charts showing active tDCS outperforming sham on low-frequency word errors and non-word reading speed at post-treatment and one-month follow-up

First randomized trial in youth with dyslexia

Eighteen sessions of tDCS paired with cognitive training reduced low-frequency word errors and non-word reading times in children and adolescents with dyslexia. Gains held at one-month follow-up.

Costanzo et al. — Restorative Neurology and Neuroscience (2016)
Read the paper
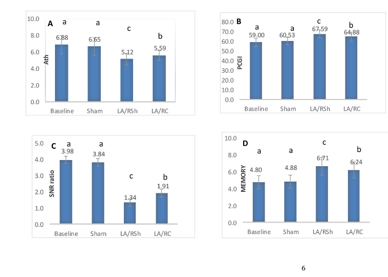
Four-panel bar charts showing anodal tDCS conditions (LA/RSh, LA/RC) outperforming baseline and sham on auditory temporal processing, speech-in-noise perception, verbal memory, and reading

Reading gains tracked auditory-processing gains

Anodal tDCS over left superior temporal gyrus in dyslexic children improved auditory temporal processing, speech-in-noise perception, verbal memory, and reading — with reading improvements statistically tied to the underlying auditory gains.

Rahimi et al. — Neuropsychologia (2022)
Read the paper
Short protocol

Five daily sessions, effects held at a month

A crossover trial in 24 children and adolescents with dyslexia: five consecutive daily tDCS sessions produced non-word reading speed gains sustained at one-month follow-up — evidence a short, deployable protocol is enough.

Battisti et al. — Frontiers in Psychology (2022)
Read the paper
Safety

Industry safety consensus for limited-output tES

Expert consensus on safe output parameters for transcranial electrical stimulation in wellness, over-the-counter, and consumer applications — the standard our protocol sits inside.

Bikson et al. — Brain Stimulation (2023)
Read the paper

Who's building this

Backed, built, and already in people's hands.

General Neuroscience is an operating company, not a concept. We have institutional backing from SOSV, a tier-one manufacturing partner, and a first-gen device that's already been used in real-world settings at scale.

Yale Tsai CITY

Backed by the Tsai Center for Innovative Thinking at Yale — the university's flagship accelerator for early-stage ventures.

HAX & SOSV

Our headsets are manufactured in partnership with HAX, the deep-tech hardware program operated by SOSV — the same program behind Formlabs, Opentrons, Flow Neuro, Neurode, Samphire Neuro, and dozens of other hardware companies.

200+ people stimulated

We've already delivered tES (transcranial electrical stimulation) sessions to 200+ people. This is proven hardware with real deployment history — not a prototype on a bench.

The team

Scientists, engineers, and clinicians — all language learners.

General Neuroscience is a team of seven. Everyone here is building the device, studying the science, or using the product themselves on a language they're actively learning.

Dr. Alec Sheffield

Dr. Alec Sheffield

CEO & Chief Scientific Officer

Yale-trained neuroscientist (PhD, 2025). Expertise in non-invasive brain stimulation and electrophysiology.

Currently learningMandarin Chinese

Luke Knoble

Luke Knoble

Chief Technology Officer

Ex-Boeing, then to Penumbra building embedded software for stroke-rehabilitation devices. Leads development of the Neurolingo System.

Currently learningRussian

Dr. Joseph Knoble, M.D.

Dr. Joseph Knoble, M.D.

Chief Medical Advisor

Former Chief Fellow at Yale Psychiatry. Clinical safety advisor for the NeuroLingo System.

Currently learningLebanese Arabic

William Polsky

William Polsky

Chief Operations Officer

Mechanical engineer out of the New Haven startup community. Runs design, supply, and manufacturing.

Currently learningItalian

Zida Sung

Zida Sung

Principal Electrical Engineer

Specialist in low-power circuit design. Owns the non-invasive brain stimulation circuitry.

Currently learningSpanish

Vanacharla Bhaskara

Vanacharla Bhaskara

Software Engineering Intern

Master's in Data Science. Machine learning specialist.

Currently learningEsoteric English vocabulary

CZ Martin

Senior Software Engineer

Machine learning specialist and full stack engineer. Virginia Tech, 2019.

Currently learningVietnamese

Next step

Let's see if a pilot fits your program.

A 30-minute call is enough to figure out whether your cohort, timeline, and outcomes are a fit. If they aren't, we'll tell you directly.